반응형
- 등차수열
수열의 차이가 일정한 것
점화식 : f(n) = f(n-1) + d
Sn = n(a1+an) / 2
- 등비수열
점화식 : f(n) = f(n-1) * r(일정비율)
Sn = an = a1*r^(n-1)
- 특성방정식
왜 사용하나?
점화식을 일반식으로 유도할 때
점화식에 특성방정식을 이용하면 일반항을 구할 수 있다.

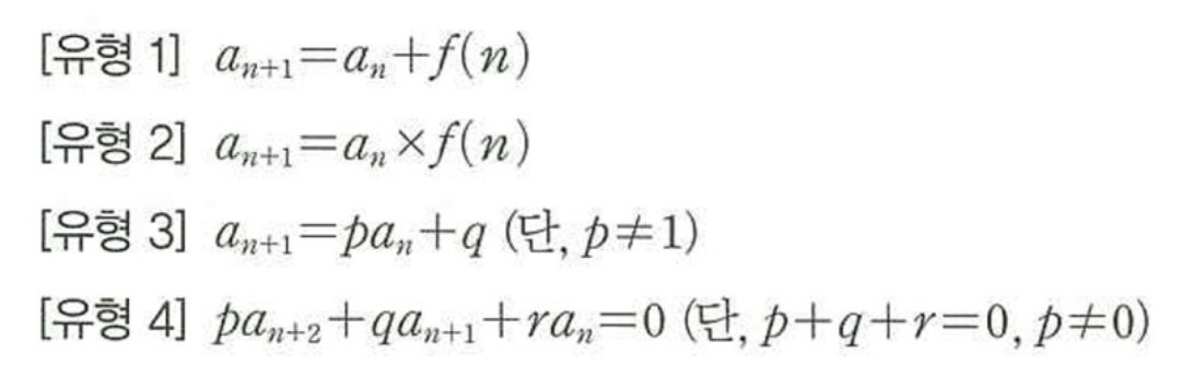
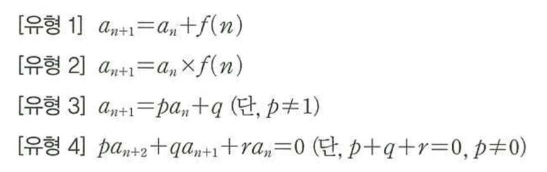
유형 3번일 때 (P!=1 && Q!=0)
- 만약 P=1이면 An+1 = An + q(등차수열이 됨)
- 만약 Q=0이면 An+1 = P*an(등비수열이 됨)
An+1-d = PAn + Q-d
식을 풀다보면 공통적인 부분들이 있다. 그 부분들을 같은 식으로 치환하면 등차or등비 수열의 형태가 된다.
반응형
댓글